作者:伊姆兰·艾哈迈德(Imran Ahmad)
来源:华章科技

本文介绍以下排序算法:
- 冒泡排序(bubble sort)
- 归并排序(merge sort)
- 插入排序(insertion sort)
- 希尔排序(shell sort)
- 选择排序(selection sort)
01 在Python中交换变量
在实现排序和查找算法时,需要交换两个变量的值。在Python中,有一种简单的方法可以交换两个变量,如下所示:
var1 = 1var2 = 2var1,var2 = var2,var1print(var1,var2)
我们看看交换的结果。
2 1
本文的所有排序算法中都使用这种简单的方法来交换变量值。
下面我们从冒泡排序开始学习。
02 冒泡排序
冒泡排序是所有排序算法中最简单且最慢的一种算法,其设计方式是:当算法迭代时使得列表中的最大值像气泡一样冒到列表的尾部。由于其最坏时间复杂度是O(N2),如前所述,它应该用于较小的数据集。
- 理解冒泡排序背后的逻辑
冒泡排序基于各种迭代(称为遍历)。对于大小为N的列表,冒泡排序将会进行N–1轮遍历。我们着重讨论第一次迭代,也就是第一轮遍历。
第一轮遍历的目标是将最大值移动到列表的尾部。第一轮遍历完成时,我们将看到列表中的最大值冒到了尾部。
冒泡排序会比较两个相邻变量的值,如果较低位置的变量值大于较高位置的变量值,则交换这两个值。这种迭代一直持续到我们到达列表的末尾,如图3-2所示。

▲图 3-2
现在,我们看看如何使用Python实现冒泡排序:
#Pass 1 of Bubble SortlastElementIndex = len(list)-1print(0,list)for idx in range(lastElementIndex):if list[idx]>list[idx+1]:list[idx],list[idx+1]=list[idx+1],list[idx]print(idx+1,list)
在Python中实现冒泡排序的第一轮遍历后,结果如图3-3所示。

▲图 3-3
一旦第一轮遍历完成,最大值就已经位于列表的尾部。算法接下来将进行第二轮遍历,第二轮遍历的目标是将第二大的值移动到列表第二高的位置。为此,算法将再次比较相邻变量的值,如果它们未按照大小排列则进行交换。第二轮遍历将跳过列表顶部元素,因为该元素在第一轮遍历后已经被放在了正确的位置上,因此不需要再移动。
完成第二轮遍历后,算法将继续执行第三轮遍历,以此类推,直到列表中的所有数据都按照升序排列。该算法将需要N–1轮遍历才能将大小为N的列表完全排序。Python中冒泡排序的完整实现如下所示。
def BubbleSort(list):# Excahnge the elements to arrange in orderlastElementIndex = len(list)-1for passNo in range(lastElementIndex,0,-1):for idx in range(passNo):if list[idx]>list[idx+1]:list[idx],list[idx+1]=list[idx+1],list[idx]return list
现在,我们看看冒泡排序算法的性能。
- 冒泡排序的性能
很容易就可以看出冒泡排序包含了两层循环:
- 外层循环:外层循环称为遍历。例如,第一轮遍历就是外层循环的第一次迭代。
- 内层循环:在每次内层循环的迭代过程中,对列表中剩余的未排序元素进行排序,直到最高值冒泡到右侧为止。第一轮遍历将进行N–1次比较,第二轮遍历将进行N–2次比较,而每轮后续遍历将减少一次比较操作。
由于存在两层循环,最坏情况下的运行时复杂度是O(n2)。
03 插入排序
插入排序的基本思想是,在每次迭代中,都会从数据集中移除一个数据点,然后将其插入到正确的位置,这就是为什么将其称为插入排序算法。
在第一次迭代中,我们选择两个数据点,并对它们进行排序,然后扩大选择范围,选择第三个数据点,并根据其值找到正确的位置。该算法一直进行到所有的数据点都被移动到正确的位置。这个过程如图3-5所示。

▲图 3-5
插入排序算法的Python代码如下所示:
def InsertionSort(list):for i in range(1, len(list)):j = i-1element_next = list[i]while (list[j] > element_next) and (j >= 0):list[j+1] = list[j]j=j-1list[j+1] = element_nextreturn list
请注意,在主循环中,我们在整个列表中进行遍历。在每次迭代中,两个相邻的元素分别是list[j](当前元素)和list[i](下一个元素)。
在list[j]>element_next且j>=0时,我们会将当前元素与下一个元素进行比较。
我们使用此代码对数组进行排序。
list = [25,26,22,24,27,23,21]InsertionSort(list)print(list)
结果:
[21,22,23,24,25,26,27]
我们看一下插入排序算法的性能。
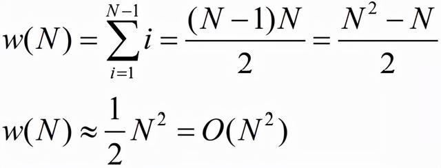
从算法的描述中可以明显看出,如果数据集已经排好序,那么插入排序将执行得非常快。事实上,如果数据集已经排好序,则插入排序仅需线性运行时间,即O(n)。最糟糕的情况是,每次内层循环都要移动列表中的所有元素。如果内层循环由i定义,则插入排序算法的最坏时间复杂度由以下公式给出:

总的遍历次数如图3-7所示。

▲图 3-7
一般来说,插入排序可以用在小型数据集上。对于较大的数据集,由于其平均性能为平方级,不建议使用插入排序。
04 归并排序
到目前为止,我们已经介绍了两种排序算法:冒泡排序和插入排序。如果数据是部分有序的,那么它们的性能都比较好。本文讨论的第三种算法是归并排序算法,它是由约翰·冯·诺依曼(John von Neumann)在20世纪40年代开发的。该算法的主要特点是,其性能不取决于输入数据是否已排序。
同MapReduce和其他大数据算法一样,归并排序算法也是基于分治策略而设计的。在被称为划分的第一阶段中,算法将数据递归地分成两部分,直到数据的规模小于定义的阈值。在被称为归并的第二阶段中,算法不断地进行归并和处理,直到得到最终的结果。该算法的逻辑如图3-8所示。

▲图 3-8
我们先来看看归并排序算法的伪代码:

可以看到,该算法有以下三个步骤:
- 它将列表划分为两个长度相等的部分。
- 它使用递归来进行划分,直到每个列表的长度为1。
- 它将有序的部分归并成一个有序的列表并返回。
归并排序算法的实现代码如下所示。
def MergeSort(list):if len(list)>1:mid = len(list)//2 #splits list in halfleft = list[:mid]right = list[mid:]MergeSort(left) #repeats until length of each list is 1MergeSort(right)a = 0b = 0c = 0while a < len(left) and b < len(right):if left[a] < right[b]:list[c]=left[a]a = a + 1else:list[c]=right[b]b = b + 1c = c + 1while a < len(left):list[c]=left[a]a = a + 1c = c + 1while b < len(right):list[c]=right[b]b = b + 1c = c + 1return list
运行前面的Python代码时,会产生一个对应的输出结果,如下所示。
list = [44,16,83,7,67,21,34,45,10]MergeSort(list)print(list)[7, 10, 16, 21, 34, 44, 45, 67, 83]
可以看到,该代码执行后的输出结果是一个有序列表。
05 希尔排序
冒泡排序算法比较相邻的元素,如果它们不符合顺序,则进行交换。如果我们有一个部分有序的列表,则冒泡排序应该能够给出比较合理的性能,因为一旦循环中不再发生元素交换,冒泡排序就会退出。
但是对于一个规模为N的完全无序的列表,冒泡排序必须经过N–1次完整的迭代才能得到完全排好序的列表。
丹诺德·希尔(Donald Shell)提出了希尔排序(以他的名字命名),该算法质疑了对选择相邻的元素进行比较和交换的必要性。
现在,我们来理解这个概念。
在第一轮遍历中,我们不选择相邻的元素,而是选择有固定间距的两个元素,最终排序出由一对数据点组成的子列表,如图3-11所示。在第二轮遍历中,对包含四个数据点的子列表进行排序(见图3-11)。

▲图 3-11
在后续的遍历中,每个子列表中的数据点数量不断增加,子列表的数量不断减少,直到只剩下一个包含所有数据点的子列表为止。此时,我们可以认为列表已经排好序了。
在Python中,用于实现希尔排序算法的代码如下:
def ShellSort(list):distance = len(list) // 2while distance > 0:for i in range(distance, len(list)):temp = list[i]j = i# Sort the sub list for this distancewhile j >= distance and list[j - distance] > temp:list[j] = list[j - distance]j = j-distancelist[j] = temp# Reduce the distance for the next elementdistance = distance//2return list
用前面的代码对列表进行排序,结果如下所示。
list = [26,17,20,11,23,21,13,18,24,14,12,22,16,15,19,25]ShellSort(list)print(list)[11,12,13,14,15,16,17,18,19,20,21,22,23,24,25,26]
可以看到,调用ShellSort函数成功地对输入数组进行了排序。
- 希尔排序的性能
希尔排序并不适用于大数据集,它用于中型数据集。粗略地讲,它在一个最多有6000个元素的列表上有相当好的性能,如果数据的部分顺序正确,则性能会更好。在最好的情况下,如果一个列表已经排好序,则它只需要遍历一次N个元素来验证顺序,从而产生O(N)的最佳性能。
06 选择排序
正如在本文前面所看到的,冒泡排序是最简单的排序算法。选择排序是对冒泡排序的改进,我们试图使得算法所需的总交换次数最小化。
与冒泡排序算法的N–1轮遍历过程相比,选择排序在每轮遍历中仅产生一次交换,在每轮遍历中寻找最大值并将其直接移动到尾部,而不是像冒泡排序那样,每轮遍历都一步一步地将最大的值向尾部移动。因此,在第一轮遍历后,最大值位于列表尾部。在第二轮遍历后,第二大的值会紧邻最大值。
随着算法的进行,后面的值将根据它们的大小移动到正确的位置。最后一个值将在第N–1轮遍历后移动。因此,选择排序同样需要N–1轮遍历才能对N个数据项进行排序(如图3-13所示)。

▲图 3-13
这里展示了选择排序在Python中的实现:
def SelectionSort(list):for fill_slot in range(len(list) - 1, 0, -1):max_index = 0for location in range(1, fill_slot + 1):if list[location] > list[max_index]:max_index = locationlist[fill_slot],list[max_index] = list[max_index],list[fill_slot]return list
执行选择排序算法时,将产生如下所示的输出。
list = [70,15,25,19,34,44]SelectionSort(list)print(list)[15,19,25,34,44,70]
可以看到,最后的输出结果就是排好序的列表。
- 选择排序的性能
选择排序的最坏时间复杂度是O(N2)。请注意,其最坏性能近似于冒泡排序的性能,因此不应该用于对较大的数据集进行排序。不过,选择排序仍是比冒泡排序设计更好的算法,由于交换次数减少,其平均复杂度比冒泡排序好。
小结:选择一种排序算法
恰当地选择排序算法既取决于当前输入数据的规模,也取决于当前输入数据的状态。对于已经排好序的较小的输入列表,使用高级算法会给代码带来不必要的复杂度,而性能的提升可以忽略不计。
例如,对于较小的数据集,我们不需要使用归并排序,冒泡排序更容易理解和实现。如果数据已经被部分排好序了,则可以使用插入排序。对于较大的数据集,归并排序算法是最好的选择。
本文摘编自《程序员必会的40种算法》,经出版方授权发布。

延伸阅读《程序员必会的40种算法》
推荐语:本书致力于利用算法求解实际问题,帮助初学者理解算法背后的逻辑和数学知识。本书内容丰富,涉及算法基础、设计技术、分析方法、排序算法、查找算法、图算法、线性规划算法、机器学习算法、推荐算法、数据算法、密码算法和并行算法等内容,重点讲述如何使用Python进行算法实现和算法性能的比较与分析。
内容来源网络,如有侵权,联系删除,本文地址:https://www.230890.com/zhan/69757.html
