分数方程是初中数学必不可少的一部分,也是中考的热门话题。在分数方程的研究中,要注意以下几个问题:增根与不可解的区别。

一、分数方程的理解什么是分数方程?分母有未知数的方程叫做分数方程。

分数方程的概念比较简单,分母是否含有未知数是判断分数方程的重要依据。在判断分数方程时,我们不能对方程进行粗略或统一的变形。

在分数方程的判断中,需要注意的是,pi是一个数值。不是字母,也就是分母为的方程不一定是分数方程。


二、分数方程的求解分数方程求解的基本思想是将分数方程化整为零再求解,体现了变换思想。

求解分数方程一般包括以下基本步骤:



(1)观察分数方程的特点,注意分母,可以先分解因子,然后找到最简单的共同得分。


寻找最简单公分母的方法:把每个分母分解成因子,找出所有因子的最高幂,它们的乘积就是最简单分母的因子。

去掉分母,将分数方程中的每个项乘以最简单的公分母,然后将原方程分成积分方程;
b64″ alt=”有增根和无解的区别,分式方程无解有哪几种情况?” title=”有增根和无解的区别,分式方程无解有哪几种情况?插图12″ />


注意:去分母时要给每一项都乘以最简公分母,不含分母的项不要忘乘最简公分母。

③解这个整式方程,得到整式方程的解;

这一步一般需要运用到整式的乘法、合并同类项、解一元一次方程或一元二次方程等知识点,之前的基础不牢固的话,需要先去复习巩固。

④验根,将整式方程的解代入最简公分母,如果最简公分母的值不为0,那么整式方程的解是原分式方程的解;否则这个分式方程无解,x的值是这个分式方程的增根。
验根很容易被忽视,最终的解只是分式方程化为整式方程之后的解,不一定能满足分式方程的分母不为0这个条件,所以需要验根。
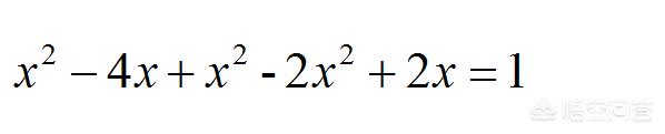
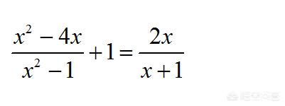
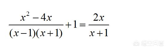
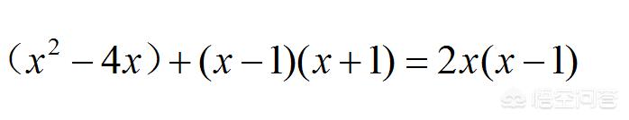
看一道例题:
观察这个分式方程,发现分母能分解因式,所以在寻找最简公分母之前,先分解因式:
最简公分母为(x-1)(x+1),
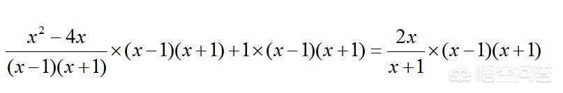
分式方程两边每一项都乘以最简公分母,注意不要忘记给常数项1也乘以最简公分母。
然后进行约分,结果如下:
熟练之后,以上两步可以合并。
化为整式方程之后,进行下一步的计算,
整式乘法、
移项
合并同类项:
最终结果为:
别忘了验根,可以将x的值代入分别代入原分式方程左右两边看是否相等;也可以将x的值代入最简公分母中,检验最简公分母是否为0。
在本题中,将x=1/2中,经检验,最简公分母不为0,所以x=1/2是远分式方程的解。
三、分式方程无解
在解分式方程的最后一步需要验根,把整式方程的根代入最简公分母中,使最简公分母不等于零的值是原方程的根;使最简公分母等于零的值是原方程的增根。
分式方程的增根需要满足两个条件:
▲①增根能使最简公分母等于0.
▲②增根是去分母后所得整式方程的根.
为什么会产生增根呢?
增根的产生是在解分式方程的第一步“去分母”时造成的.
根据方程的同解原理,方程的两边都乘以(或除以)同一个不为0的数,所得的方程是原方程的同解方程。
如果方程的两边都乘以的数是0,那么所得的方程与原方程不是同解方程,这时求得的根就是原方程的增根,即原分式方程无解。
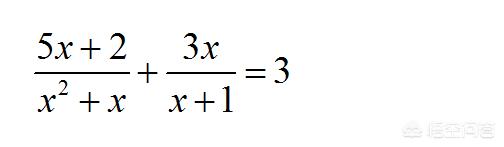
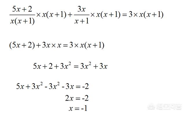
看下面的这道题目:
验根,将x=-1代入最简公分母x(x+1)中,计算发现最简公分母为0,则x=-1是原分式方程的增根,原分式分析无解。
四、分式方程中的字母参数问题先来看看分式方程中涉及字母参数的两种问题:
1、分式方程有增根,求字母参数的值。
根据增根的概念,增根是原分式方程化成的整式方程的解,即所化为的整式方程是有解的;这个解会让最简公分母为0.
观察原分式方程,可得最简公分母为x-2,分母中的(x-2)和(2-x)可以相互转化,
有增根,说明了最简公分母x-2=0,则可得x=2,求出了分式方程化为整式方程之后的解。
接下来,解原分式方程即可,注意将字母参数k先当成数字,
将x=2代入最后的式子中可得到关于k 的方程,解方程可得k=1.
也可以在去分母之后直接将x=2代入所化成的整式方程中,得到关于k的方程,解方程同样可得k=2.
2、分式方程有无解,求字母参数的值。
分式方程无解的两种情况:
▲①将分式方程通过去分母变为整式方程后,整式方程无解;
▲②整式方程求得的根使得原分式方程的最简公分母为0,即求得的根为增根。
在没有特殊说明的情况下,两种情况都要考虑,不可忽略任何一种情况。
将上面的例题稍微做一改变,如:
先来化简原分式方程,注意将字母参数k先当成数字,与上面一样,
到了这一步,需要注意分类来讨论无解的情况:
第一种情况:将原分式方程通过去分母变为整式方程后,整式方程无解;
在本题中,
第二种情况:整式方程求得的根使得原分式方程的最简公分母为0,即求得的根为增根。
在本题目中,
最终可得,当k=1或2时,原分式方程无解。
通过上面的两道例题可得,在字母参数问题中要注意题意,到底是是有增根还是无解,是两种不同的情况,无解包含着产生增根和化成的整式方程无解两种情况。
来练习一道题目:
内容来源网络,如有侵权,联系删除,本文地址:https://www.230890.com/zhan/46381.html
