1.假设各支路电流正方向和回路迂回方向的kcl方程。
2.KCL用于列出节点的当前方程。对于有n个节点的电路,只能选择n-1个节点的列方程。
3.列出带有KVL的回路的电压方程。对于具有m个分支和n个节点的电路,可以列出m-(n-1)个环路的电压方程。选择一般的网格列方程,因为网格数正好等于m-(n-1),得到的方程都是独立方程。
4.求解方程。如果得到电流,则电流的实际方向与假设的正方向相同;如果是这样,电流的实际方向与假设的正方向相反。
基尔霍夫第一定律,又称基尔霍夫电流定律,简称KCL,是集总参数电路中电流连续性的体现,其物理背景是电荷守恒公理。基尔霍夫电流定律是确定电路中任意节点处各支路电流之间关系的定律,因此也称为节点电流定律。它的内容是:在任何时刻,流向一个节点的电流之和总是等于流出该节点的电流之和,或者更详细地说,假设进入一个节点的电流为正,流出该节点的电流为负,则该节点所涉及的所有电流的代数和等于零。也就是说,基尔霍夫定律适用于DC。基尔霍夫定律通常将上述两个方程称为节点电流方程或KCL方程。它的另一种表述是:基尔霍夫定律写节点电流方程时,每个电流变量前的正负符号取决于每个电流的参考方向与节点的关系(是“流入”还是“流出”);每个电流的正负值反映了电流的实际方向与参考方向之间的关系(是相同还是相反)。通常,偏离(流出)节点的参考方向上的电流被赋予一个正号,而指向(流入)节点的参考方向上的电流被赋予一个负号。图中KCL的应用展示了电路中的节点,有五个分支连接到节点。在选定的参考方向上,有:基尔霍夫定律(2张)。KCL定律不仅适用于电路中的节点,还可以推广到电路中任何假设的闭合曲面。也就是说,在任何时刻,通过电路中任何假设的闭合表面的电流的代数和为零。图中KCL的一般化表示电路的一部分,所选的闭合曲面在图中用虚线表示。在选定的参考方向上,从电路理论可知KCL的复频域形式。对于电路中的任意节点A或割集C,其时域形式的KCL方程是基尔霍夫定律k=1,2,3,… n,其中n是连接到节点A的支路数,在拉普拉斯变换得到的基尔霍夫定律中,基尔霍夫定律是支路电流ik(t)的函数。上述公式是KCL的复频域形式。证明了集中在电路中任意节点A上的所有支路电流镜像函数的代数和等于零。或者电路任意割集c中所有支路电流镜像函数的代数和等于零。
三相开路相序保护器的原理分析:

相序检测示意图。

将三相电源设置为UA、UB、UC,通过电阻r连接到保护器,保护器内部的三个元件检测连接电压,即电容C接A相,电阻R1接B相,电阻R2接C相.

检测三个元件的电压UANO、UBNO、UCNO,根据三个元件的电压值判断是否发生电压相序故障。

1.当发生相位故障时,没有电流流过相应的部件。因此,如果发生断相连接的元件是电阻,那么电阻两端的电压为0V。如果是电容,通过检测电容电流为0A就可以判断,可见缺相是一个非常容易判断的故障。

2发生相序错误时,三个元件的端电压必须与正常相序元件的端电压不同。相序是否正常,可以通过判断元件两端的电压变化来判断。
img src="https://p1.toutiaoimg.com/large/pgc-image/d8fc4e217cd94a99bbfd1a5af3bb5506" alt="kcl方程,基尔霍夫解光的电磁波方程?" title="kcl方程,基尔霍夫解光的电磁波方程?插图5" />
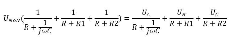
根据KCL,KVL理论可求解三个元器件的电压值:

运用复阻抗方法表示电容阻抗为1/Cω,应用节点电压法,列写KCL方程:


用相量表示电压,
令UA=220∠0 V,UB=220∠240 V,UC=220∠120 V,
R=10K,1/ Cω=R1=R2=1K,带入公式中,计算Unon:
知道了中心点电压后,就可以求出电阻R1两端的电压:
同样的方式,可求出R2两端的电压:
这里假设电容所接的一相为A相,当相序正常情况下,电阻R1所接的B相电压,对应的R1两端电压幅值为25.565V,电阻R2所接的C相电压,对应的R2两端电压幅值为15V,可见电阻R1两端的电压大于电阻R2两端的电压;而当相序反向的时候,会使得电阻R2两端的电压大于电阻R1两端的电压。这样就可以通过简单的阻容网络判断电压的相序。
到目前为止,我们讨论了一种利用硬件实现电压相序判断的方法,是一种简单低成本的检测相序方法,现实中,是否所有的三相设备都需要配备这种相序保护器哪?
当然不是,有些设备可以就地取材来判断相序,比如并网用逆变器设备。
并网用逆变器设备由于自身具有采样网侧电压的需求,因此,通过数字处理器(DSP)已经知道了三相电压的大小,那么是否存在一种方法来计算是否电网存在缺相和相序错误,下面来介绍一种软件检测电压缺相的方法:
三相电压从静止坐标变换到旋转坐标,可获得直流电压Ud+,即三相交流电压的正序分量幅值。当三相电压相序反向时,旋转坐标的正序直流电压分量为0,而负序直流电压分量的幅值Ud-等于当三相电压相序正常情况下的Ud+值。这样,仅仅通过软件计算就完全可以知道是否发生了相序错误。
什么是静止坐标:简单讲,就是变量按时间顺序进行变化,坐标轴不变化。
三相交流电压是随着时间按正弦波的形式变化的物理量,可以用幅相坐标曲线表示。横轴为相角ωt坐标轴,角度随时间做线性变化,纵轴为幅值坐标轴,幅值随着角度按正弦规律变化。
如果把ωt包含在坐标轴变量里,那么这个关于ωt的时间坐标,就变化为关于αβ的两相静止坐标,两相静止坐标中αβ都是关于ωt的函数变量。
如果把一个正弦波电压量u表示成复指数形式:
那么,复指数形式电压的实部就是该正弦波电压量,虚部是与正弦波电压成90度关系的电压量。把横坐标定义为α轴,表示实部值,纵坐标定义为β轴表示虚部值,这个新的坐标就是两相静止坐标。那么,Ua的幅值只在α轴上变化,此时,如果把Ub和Uc两个电压也在一个坐标下表示,那么,就得到了三相电压的两相静止坐标表示方式。
假设Ua初相角为0度,Ub初相角滞后Ua120度,Uc初相角超前Ua120度,那么,他们在两相静止坐标空间上按顺时针排列。任意时刻,三相电压都能够合成一个电压矢量,而合成电压也是按逆时针方向旋转的相量。
如果把这个合成电压矢量当做旋转坐标的d轴,把与d轴垂直的轴当做q轴,那么就得到了两相静止坐标到旋转坐标的转换。显然Ud相对于旋转坐标的d轴是静止的,而旋转坐标d轴相对于α轴是旋转的,即旋转坐标是坐标轴在旋转。
因此,如果坐标中没有正序分量进行旋转,只存在负序分量旋转,则Ud+=0,只有负序旋转电压Ud-。
通过程序计算Ud-,即可判断是否发生了相序翻转。
内容来源网络,如有侵权,联系删除,本文地址:https://www.230890.com/zhan/36717.html
