从2018年开始,交斗娃第一次进入北京校区,开始了全国体育教学课。
目前,北京有300多所学校以社区、课后330、体育课、课间操等形式开展“用脚打宝宝”活动。
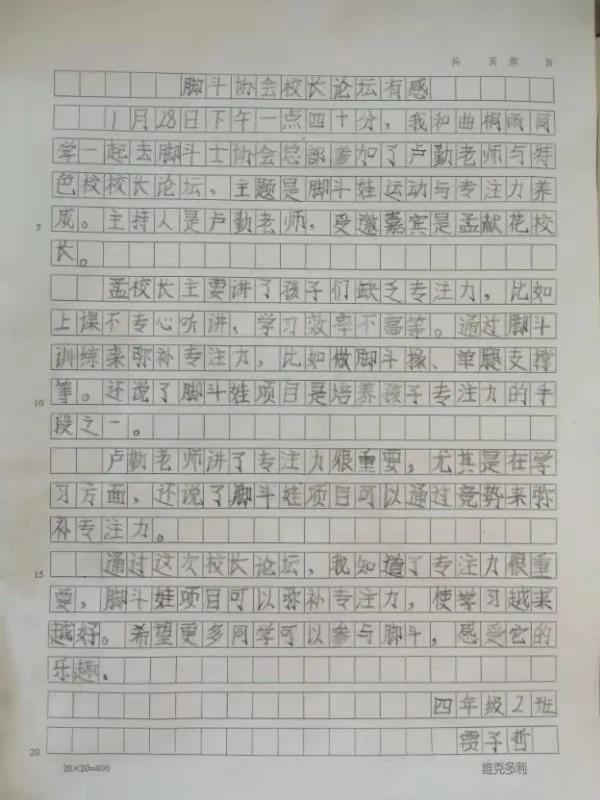
孩子们或多或少都通过足斗瓦的训练获得了自己的收获。
他们表达了对老师的感谢,对教斗娃的理解,个人的成长等。用真诚的话语,形成一种风趣、温暖、直白或可爱的读后感。
今天,让我们来看看脚桶宝宝在他们的笔下是什么样子的.



















以上是部分同学学习后的感受。
这些文字和图片透露出天真无邪,传达出一种简单而美好的感觉。我们可以感受到孩子们的乐趣和可爱,以及他们对角豆娃真挚的爱。更让我们开心的是,角豆娃给孩子们带来了积极的变化。在练习交斗娃的过程中,他们自信、勇敢、开朗。他们实现了“勇于承担责任,永不放弃”的精神,这种精神已经潜移默化地渗透到他们的学习和生活中。
恰逢感恩节,我们在这里感谢孩子们对足斗娃的爱和爱护!亲爱的孩子,无论你未来遇到什么困难,你都不会害怕,因为你有“勇往直前,永不放弃”的精神,这种精神会激励你走过一个又一个难关,走向光明美好的未来!快点,继续走!
内容来源网络,如有侵权,联系删除,本文地址:https://www.230890.com/zhan/116799.html
