随着通讯、互联网等技术的发展,物联网应运而生,传感器和微型器件得到了大规模应用,如何给这些微小器件充电,成为了一个难题。
2006 年,中科院王中林院士发明了纳米发电机,提出了自驱动系统的概念。2012 年,王中林院士发明了将微小的机械能转换为电能的摩擦纳米发电机( TENG ,以下用此简称),将纳米能源定义为“新时代的能源”,并将长远目标定为将海浪的能量收集起来,实现人类梦寐以求的“蓝色能源”。由此,在公元前 6 世纪被人类首次记录的摩擦起电现象,在 2000 多年后被逐渐重视、利用了起来。
近日,中国科学院北京纳米能源与系统研究所王中林院士与王杰研究员领导的科研团队在 TENG 研究中又取得了新进展。络绎科学有幸邀请到了王杰,为我们分享自 TENG 发明以来遇到的一些研究难题、解决方案以及最新研究成果。
一、 TENG 的优势与基本模式
传统的电能是通过电厂给一个有序的、大的应用场景供电,如果是分布式小电源,比如日常用到的手机、智能手表等,可以通过定期充电保证运转。但在物联网时代,有海量的传感器,在森林、海洋等地方,投放出去后一方面很难再找到,另一方面电池寿命有限,很难长久使用下去。针对这一问题,王中林院士想到了从环境中直接获取能源对电子器件供电,而 TENG 就是针对这样的需求而产生。
(一) TENG 的优势
TENG 与电子发电机最大的不同是,电子发电机是利用磁场变化进行发电的,而 TENG 是基于位移电流发电的(随时间变化的电场而产生的感应电流,以及介质极化所引起的静电荷微小位移所产生的电流)。从物理效应来看,它是基于两种材料的接触摩擦,产生静电感应并对外输出电流。从理论上来看,王中林院士基于麦克斯韦方程组推导出 TENG 的基本输运方程。

图丨摩擦纳米发电的方程式(来源:王杰,络绎知图整理)
TENG 的功率和频率是一次方关系,而传统发电机是二次方关系。相对于传统发电机, TENG 作为新的发电器件,具有高电压低电流、在低频下具有高效率的特点。
(二) TENG 的基本模式
自 2012 年第一款 TENG 发明以来,王中林院士及其团队共研究出四种基本模式,分别是垂直接触分离模式、水平滑动模式、单电极模式和独立摩擦介质层,用来收集广泛存在于自然界中的人体运动的机械能、波浪能、声音和风能等能量。

图丨 TENG 的四种基本模式(来源:王杰,络绎知图整理)
二、 TENG 的性能评价指标
作为一个新的发电器件,没有一个统一的标准来评价基于多种模式多种结构的 TENG 的性能,那应以什么标准来评价其性能?
TENG 具有高电压低电流的特性,它的电流输出与运动的特性有极大关系,它的开路电压很高,但很难测准,所以这两个参数都不太适合做评价指标。王中林团队提出将表面电荷密度的平方作为材料品质因数,进而作为TENG的性能评价标准。

图丨 TENG 的结构品质因数(来源:王杰,络绎知图整理)

图丨与固体镓或镓铟锡合金接触的不同材料所测量的绝对电荷密度(来源:王杰,络绎知图整理)
表面电荷密度不仅可以决定它的电流、电压,也可以决定它的功率。表面电荷密度与运动的频率无关,也就是说和测试方式无关,因此表面电荷密度是一个非常适合用来做表征的参数。(在评价 TENG 在功率或能量方面的改进效果时,直接以此作为评价。)
三、 TENG 的研究:限制因素和改进方法
(一)如何提高 TENG 的能量
1. 提高电荷密度的两个关键瓶颈
此前,王杰团队做出了可穿戴的 TENG ,但这种可穿戴的 TENG 可以水洗吗?是柔性的吗?
针对这个问题,王杰团队使用硅胶做介质层,硅胶加碳颗粒,如碳黑、碳纳米管,来作为它的电极,使用硅胶后,TENG 就实现了可拉伸、可水洗。而使用硅胶后的 TENG 也给了他们一个惊喜——它的电荷密度有了明显的提升。

图丨不同材料下 TENG 的电荷密度(来源:王杰,络绎知图整理)
一百多年来,有大量针对摩擦起电的研究,但都没有将它作为主要发电器件应用,一个主要原因就是因为它的电荷密度太低。
2014 年,王杰刚进入这个研究领域的时候, TENG 的电荷密度还只有 50μC/㎡ ;使用纳米结构的电极材料后,它的电荷密度达到了 100μC/㎡ ;考虑到摩擦的重要性,用容易得到电子的聚四氟乙烯 (PTFE) 做介质层,用当时最好的液态金属与之摩擦,其电荷密度达到了200μC/㎡ ;而在使用硅胶后,它的电荷密度接近 300μC/㎡ ,得到了显著提升。
改进后的 TENG 便可以收集人体机械运动产生的能量,实时驱动可穿戴电子器件。比如,将 TENG 嵌入鞋底,人体通过走路产生的能量就足以驱动电子手表,通过跑步产生的能量就足以驱动一个健康监视器件,且多余的能量还可以存储在电池里,这样即使人体在休息时,也能够给电子器件供电。
电荷密度提升了 5 倍之后,是否还能不能进一步提升呢?
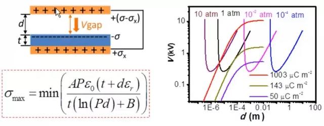
在改进的过程中,王杰团队遇到了一个瓶颈——空气击穿。摩擦起电中,摩擦电极与介质层摩擦后,会有一个电荷分离的过程,当两者分开后,会产生电压,由于静电的电压非常高,电压很容易达到空气击穿的上限,就产生了空气击穿,从而导致电荷仅从内部转移泄露,而不从外部转移产生电流。

图丨空气击穿对摩擦起电的制约(来源:王杰,络绎知图整理)
这一现象王杰团队在高真空系统中得到了验证。在空气中的电荷密度也只有100 多 μC/㎡ 的 TENG 器件,在高真空条件下,电荷密度达到了 600 多 μC/㎡ ,进一步优化后,电荷密度达到了 1000μC/㎡ ,这与几年前相比,电荷密度提升了 20 倍,功率提升了 400 倍。

图丨高真空下的电荷密度(来源:王杰,络绎知图整理)
高真空环境中,电荷密度轻松地超过了 600μC/㎡ ,甚至达到了 1000μC/㎡ ,如果能够突破空气击穿的限制,电荷密度还能更高吗?经过实验,发现在使用相同器件的情况下,电荷密度无法达到更高。经过分析,发现了另一个瓶颈——材料击穿。只要电极分离得足够远,那么电极所带的负电荷就会全部转移,负电荷在介质层的上表面,等量的正电荷在背电体上,介质层就会形成一个“平板电容器”,将介质材料击穿。
综上, TENG 的电荷密度有三个限制因素:摩擦起电、空气击穿和材料的介质击穿。以上的研究工作把 TENG 的电荷密度提到了新的高度,也为后面的研究指明了方向。
2.电荷激励不仅提高电荷密度,还提高耐湿性
因为选对了材料,摩擦起电不是瓶颈。但如果材料的选择是为了有更高的介质击穿场强,也会受限于摩擦起电。通过研究发现,电荷激励是很好的突破方法。
TENG 输出的电荷往外运输后,存储在电容器中,通过电路的自动切换,电荷有一个快速积累的过程。即便使用摩擦起电性能很差的材料,仍能输出更多的电荷,如 P(VDF-TrFE) 材料,它的电荷密度达到 2200μC/㎡ 。

图丨高介电常数材料提高表面电荷平衡态上限(来源:王杰,络绎知图整理)
上图所示的公式也指明了进一步优化的方向,一是提高介电常数,二是降低厚度。当然,如果材料太薄,就会有漏电流的问题。
摩擦起电常常受到湿度的影响,冬天的时候我们的衣服容易产生静电,发生火花现象,夏天则很少有静电产生。除了得到高电荷密度和高功率外,运用电荷激励的方法,还可以使 TENG 在高湿环境下也能得到比较理想的输出性能。

图丨提升高湿环境中输出性能(来源:王杰,络绎知图整理)
从上图可以看出, TENG 在相对湿度为 90% 的环境下,输出的电荷密度只有在相对湿度为 30% 时的百分之二点几,使用电荷激励技术后,它还有百分之七十多的电荷密度输出,由此,运用电荷激励还可以克服高湿环境对 TENG 应用限制。
3. 利用空气击穿的 DC-TENG 及其改进方法
既然有空气击穿和无空气击穿之间的电荷密度差值那么大,为什么不利用空气击穿呢?将空气击穿的电荷量收集起来结果会怎么样?
基于此,王杰团队设计了基于空气击穿的恒流摩擦纳米发电机 (DC-TENG) 。其原理是:电极(如金属铜)与介质层(如 PTFE )进行摩擦,因为它们的电负性不同,这两种材料在摩擦或接触后,金属铜就会把电子转移给 PTFE ,当铜电极滑开后,由于 PTFE 是驻极材料,它表面的负电荷就会保持一段时间,但这些负电荷缺少相应的正电荷来屏蔽,就会产生一个较高的电场,电场则会击穿空气。如果在介质层上放一个电荷收集电极,就可以收集击穿空气的电能,达到收集空气击穿能量的目的。

图丨 DC-TENG 工作原理(来源:王杰,络绎知图整理)
DC-TENG 利用的是摩擦起电和空气击穿,它的原理和传统发电机利用摩擦起电和静电感应的原理不同,其基本原理类似人工产生和收集“闪电”的原理。旋转模式的 DC-TENG 不仅可以实现直流电输出,而且可以实现恒流电的输出,更重要的是,其输出电流基本上与负载电阻的大小无关,这样巧妙地实现了恒流源的功能。因为是恒电流输出,所以它能够直接产生电流来驱动电子器件。而传统的发电机是交流脉冲的电流,在驱动电子器件之前,需要先整流,变成直流脉冲,后通过能量存储器件转变成稳定电压、恒定电流之后对电池器件进行供电。
(1)DC-TENG 的微结构设计改造
DC-TENG 的电荷密度达到了 400μC/㎡ ,接近了上面提到的差值。在此基础上,王杰团队又想了很多方法提升其输出,如介质层的优化、结构设计、气压设计等。其中,微结构的设计改造是一种能高效提高输出性能的方式。
滑动模式和接触分离模式摩擦的极限电荷密度是一样的,但是滑动模式可以瞬间达到摩擦起电的极限,它的摩擦起电有效性相对比较高。如果想要提高滑动模式 DC-TENG 的输出电荷,可以用一个面和一根线的摩擦来替代面与面的摩擦,而后把被替换的那个面的电极做成多个摩擦电极及相应的电荷收集电极,实现从一个发电机到多个发电机并联发电。

图丨微结构改造后的结构设计(来源:王杰,络绎知图整理)
为了验证经过微结构改造后的 DC-TENG 性能,王杰团队做了 50 个结构单元来测试其电荷密度,实验结果如下图,电荷密度值达到了 5.4mC/㎡ ,比之前的数值提高了很多。

图丨 TENG 微结构改造后的电荷密度记录(来源:王杰,络绎知图整理)
此外,实验还显示单位面积输出的电荷密度与结构因子 (K) 呈线性关系,电荷密度会随K增大而线性增加。

图丨结构因子 K 与输出性能关系(来源:王杰,络绎知图整理)
通过之前的研究, TENG 的电荷密度从 1000μC/㎡ 达到了最高的 2400μC/㎡ 。而 DC-TENG ,不仅可以恒定地输出、直接驱动电池器件,还超过了以前的交流 TENG 的电荷密度。
综合以上的研究, DC-TENG 的限制因素总共有三个:摩擦起电;摩擦起电过程中电荷参与量;结构因子。
(2) DC-TENG 的材料选择优化
由于直流发电机的原理不同于交流发电机,王杰团队重新审视了此前所用的材料并考虑优化。
实验发现,铜和 PTFE 材料对并非最优。基于 DC-TENG 原理,王杰团队提出 DC-TENG 中理想摩擦材料需要具备较小的摩擦系数、低的极化强度、高的表面电荷密度的特性。
根据这三个特性要求,通过实验,发现最好的材料是 PVC ,其次是 PTFE 。在相同条件下,使用 PVC 材料时,电荷密度超过了 8mC/㎡ 。

图丨新材料的电荷密度(来源:王杰,络绎知图整理)
4. 双模式 AC/DC-TENG 可收集更多能量
DC-TENG 的研究取得一定成绩后,王杰团队思考可否将直流摩擦纳米发电机和传统的交流摩擦纳米发电机的两种效应同时利用起来,提高能量输出,从而更有效地驱动电子器件。王杰团队在传统的 TENG 上再加一个电极来收集电荷,同时收集两种能量。

图丨双模式 AC/DC-TENG 工作原理(来源:王杰,络绎知图整理)
这种双模式的发电机,交直流输出相互独立,可以作为研究摩擦起电、静电感应和静电击穿的一种很好的工具,在研究其他效应的时起到了重要作用。
5. 介质增强效应有效提高 TENG 性能
摩擦起电的总量增加了,静电感应和静电击穿就会增强,那么如何增加摩擦起电的总量?
之前的研究重点在电极材料的改进,如选用最容易失去电子的金属和最容易得到电子的介质层材料。后经研究发现,在原先的金属和介质层中间的摩擦界面再加一种比金属更容易失去电子的材料,如聚合物丁腈,能使输出性能提升一个台阶。

图丨介质增强 TENG 的应用(来源:王杰,络绎知图整理)
介质增强效应具有普适性,既可以使传统的四种模式的 TENG 的性能得到提升,也使 DC-TENG 的输出性能得到提升。

图丨介质增强 TENG 的普适性(来源:王杰,络绎知图整理)
(二)提高TENG的寿命的几种方法
TENG 的优势很多,但不可避免地,也有短板。TENG 的寿命成为它投入应用前的关键难题之一。为了解决这个问题,王杰团队想到了三个改进方法。
1. 界面润滑
即选择合适的润滑油来提高它的服役寿命,同时通过润滑油来降低界面击穿,减少电荷损失。
从下图的实验结果可以看到,使用合适的润滑油后,在滑动 50 万次后,TENG 仍然具有较稳定的输出,输出率达到 86% ,且材料的磨损也比较低;没有使用润滑油的 TENG ,其输出很快就降到了 10% 以下。

图丨使用润滑油延长服役寿命(来源:王杰,络绎知图整理)
选择合适的润滑油,不仅可以起到润滑作用,还可以减少空气击穿,减少内部电荷的损失。因此,界面润滑的方式能提升 AC/DC-TENG 两种摩擦纳米发电机的输出性能,是一个通用的方法。
2. 改用接触分离式
通过结构设计,将滑动式旋转摩擦纳米发电机改为接触分离式的旋转摩擦纳米发电机,可以提升循环寿命。目前通过实验测得接触-分离模式最高的循环次数是 4000 万次,具有较高的稳定输出。
由于旋转接触分离式自带相位差,脉冲峰有相位差,叠加后会降低波峰比。因此改用接触分离式不仅可以提高寿命,还可以降低波峰比。

图丨接触分离式工作原理(来源:王杰,络绎知图整理)
3. 优化材料和结构
改用耐磨的材料及增加材料的弹性,让其自适应地接触。王杰团队以高铁为目标应用场景进行了相关研究。因为高铁在行驶过程中会产生巨大的风场,这样就可以利用行驶中的高铁产生的风能进行发电。

图丨设置在高铁轨道旁的 ER-TENG (来源:王杰,络绎知图整理)
通过实验,可以看到驱动扭矩减小一半,能量收集效率提高一倍, TENG 的耐久性得到了显著提升。自适应接触和材料优化,可以提高 TENG 的循环寿命,也可以运用到其他的领域。

图丨材料优化后 TENG 的电荷密度(来源:王杰,络绎知图整理)
四、双电容增强摩擦纳米发电机 (DCE-TENG) 实现超耐磨和耐湿
TENG 在规模化应用前,主要有三个瓶颈:第一个是功率密度(功率密度和电荷密度的平方成正比),第二个是寿命,第三个则是耐湿性。
DCE-TENG 可以同时解决寿命和耐湿问题,其原理与之前的 TENG 又有什么不同呢?
DCE-TENG 中,设置有两个电容,一个是固定电容,另一个是不接触的可变电容。DCE-TENG 产生的电流会先存储在固定电容里,随着可变电容容量的变化,电流会在固定电容和可变电容之间来回流动,由此对外供能。由于这里只需要 TENG 产生的微小电能来维持双电容系统的漏电流,就降低了对 TENG 本身的输出性能需求。

图丨 TENG 和 DCE-TENG 工作原理对比(来源:王杰,络绎知图整理)
双电容系统中是没有磨损的,因此它的寿命和稳定性都比较高。此外,双电容系统的对外输出只受到固定电容所存的电量和可变电容的容量的影响,几乎不受到环境湿度的影响,在相对湿度达到 90% 时,也会有 90% 以上的输出,因此具有耐高湿的优势。

图丨 DCE-TENG 耐高湿、耐磨损性能(来源:王杰,络绎知图整理)
在提升 DCE-TENG 的功率方面,可以通过结构设计来实现,比如在收集风能的系统中,可以收集风能来驱动主 TENG 缓慢地转动,通过变速齿轮组让可变电容进行高速旋转,以此提高输出的频率,从而提升输出功率。
五、 TENG 的应用
TENG 具有质量轻(可用塑料来做,不需要传统发电机的磁铁与线圈)、体积小、低频效率高、选材广泛(可根据需要进行选材)等优势。
基于其优势,TENG 主要在以下4个方面有广泛的应用前景:
第一是微纳能源,比如用于穿戴电子设备的电源供给。
第二是自驱动传感, TENG 既能把机械信号转变成电信号作为能源,也可以将机械信号转化出的电信号,直接作为运动的识别信号。此外,它不需要外加供电,线路比较简单,并且具有高电压特性,更方便电路检测。
第三因其高压特性,可以成为一个很好的高压源。
第四是蓝色能源,这是一个场景比较大的应用。蓝色能源是将 TENG 组成网络来收集波浪,达到一个大的能源输出。

图丨 TENG 的 4 个应用前景(来源:王杰,络绎知图整理)
TENG 在蓝色能源中的应用
全球海洋能的总储量约 760 亿瓦,相当于全世界发电装机总功率的 10 倍,我国有长达 18000 千米绵长曲折的海岸线,有大量的海洋能。如果能够将 TENG 组成网络,收集无序、随机、低频的波浪能,会为海洋的开发利用和碳中和提供新的思路。
关于海洋能的利用,国内外已经探索了很多年,早期曾使用固定式发电机,但因其过高的安装成本而没有继续推进。之后利用漂浮式发电机来收集能量,因为采用的是传统的电磁感应发电机,重量比较大,与漂浮式要求的重量轻相互矛盾,在应用过程中问题比较多而没有继续推进。
对此,王中林院士提出使用 TENG 的小球网络来收集波浪能。

图丨单点接触的网络状 TENG (来源:王杰,络绎知图整理)
单点接触的 TENG 基于自由摩擦层工作模式,由尼龙球和背面有电极的 Kapton 膜摩擦产生静电荷。当球随着波浪在两电极间来回滚动时,会在外电路中产生交流电。在 1.43Hz 的波浪频率下,单个发电机可以产生 24nC 的电荷和 1.2μA 的短路电流。
这种 TENG 寿命很长,但因为是单点式,因此输出功率有待提高。王杰团队通过材料优化的方式,如将 PTFE 改用硅胶,使得电荷密度有大幅度提升,最大功率也有 10 倍以上的提升。
另一种收集波浪能的方式是使用双线摆驱动的多层 TENG ,实现多面摩擦发电。其原理是将双线摆模块设计在船体上,利用船体的晃动与海浪摩擦产生的能量发电。

图丨双线摆辅助的多层 TENG 工作原理(来源:王杰,络绎知图整理)
基于软接触、超薄和微纳表面结构的介电材料以及多层结构的合理空间利用率,它实现了 200Wm-3 的高功率密度,且船体平台具有提高 TENG 在海上的适应能力、简化封装和降低运营成本等优势。
针对远洋的多向波浪能收集,王杰团队又设计了圆形的 TENG ,以实现全向水波浪能的有效收集;采用主动共振系统收集低频的波浪能,以实现全频段水波能的有效收集。
有了船体平台和相对来说比较高的功率的发电模块,利用 TENG 除了构建小型的海洋能发电站,还将在海洋化学资源的提取、海水资源的生产利用、构建海洋物联网工程等方面有巨大的应用潜力。
络绎科学关注前沿科技和为之奋斗的科研工作者们。我们希望通过持续不断分享,为大家带来前沿科技和为之走过“弯路”却仍然风雨兼程的科研工作者们的真实经历。
-End-
内容来源网络,如有侵权,联系删除,本文地址:https://www.230890.com/zhan/110425.html
