
数学上,数字的数量是无限的,大小也是无限的。无论这个数有多大,你都可以找到比它更大的数。假设M是一个巨大的数,即使这个数加上0.0001,得到的M 0.0001也会比M大,同理,无论这个数有多小,你都能找到一个比它小的数,只要从中减去一个大于0的数就可以了。
所以数学上没有最大数和最小数。然而,数学家们发现了一些非常大而有意义的数字,这可能是不可想象的。另一方面,你可以在一个非常大的数上加一个负号得到一个非常小的数,所以求最小的数就相当于求最大的数。那么,数学家发现的最大有效数是多少?
最大的数

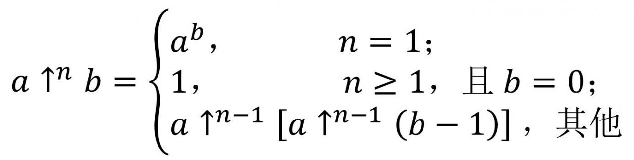
要构造一个大数,很多人可能会先想到指数或者阶乘。9 ^ 128相当于1.3910 ^ 122,128!相当于3.8510 ^ 215,这两个数字已经远远超过了哈勃体积的粒子总数(10 ^ 80)。但是在数学上,有一些方法可以构造更大的数字,比如Gartner arrow符号:

根据上面的公式,如果a=3,而b=5,当n=1时,我们可以得到:
35=3^5=33333=243
当n=2时,数字35的大小会急剧增加:
35=3^3^3^3^3=3^3^3^27=3^3^76255974849873^(1.25810^3638334640024)
3859385938593
数学家葛立恒在解决与拉姆齐两着色定理有关的问题时,发现了一个在当时被认为是最大的数,后来被称为格雷亨数。这个数字太大了,而且它的表示法很特殊,如下:

从下到上,每一层的数字表示上一层的箭头数。第一层是:
g(1)=33=3[33]
385
就g(1)而言,这个数太大了,不能用常规的方法来表示。到了第二层,箭头的数量就变成了g(1),这一层的箭头数量会增加的更多。格力恒号总共64层,每增加一层,数量会急剧增加。葛力恒的数量超乎想象。如果要完全展开这个数字,在直径为930亿光年的哈勃体积中的每一个最小的普朗克空间(4 10-105立方米)里写一个数字,将是远远不完整的。

后来数学家发现了格雷亨数以外的数,当然不是“格雷亨数1”或“格雷亨数格雷亨数”,因为这些数没有任何意义。这个较大的数与矩阵树定理中的树函数有关,树函数是一个增长极快的函数。
树函数增长有多快?树(1)=1,树(2)=3。乍一看,这个功能不怎么样。然而在TREE(3)中,这个数字突然爆炸到了令人难以置信的巨大程度。树(3)等于格雷亨数,就像格雷亨数等于1一样。

树(3)的最大记录也被打破了,因为有比树函数增长快得多的SSCG函数。SSCG(0)=2,SSCG(1)=5。这个函数一开始也增长缓慢,但是SSCG(2)已经到了3 2 (3 2 95)-8,相当于3后面跟着3万亿个零。到了SSCG,这个数字已经远远超过了TREE(树(.树(3).)),嵌套层数总和为TREE(3),格雷亨数在其前面小到几乎为零。SCG是一个类似于SSCG的函数,它的增长速度甚至更快,SCG(3)甚至大于SSCG(3)。
00-1010如果要说数学中最小的数,可以在SCG(3)上加一个负号。-SCG(3)可以小得令人难以置信。如果说科学意义上的最小数,各种普朗克单位都很小,比如上面说的1普朗克空间,数量级在10-105。可以小到0,也就是0开尔文的绝对零度,但这个温度在现实中是达不到的。
内容来源网络,如有侵权,联系删除,本文地址:https://www.230890.com/zhan/249870.html
