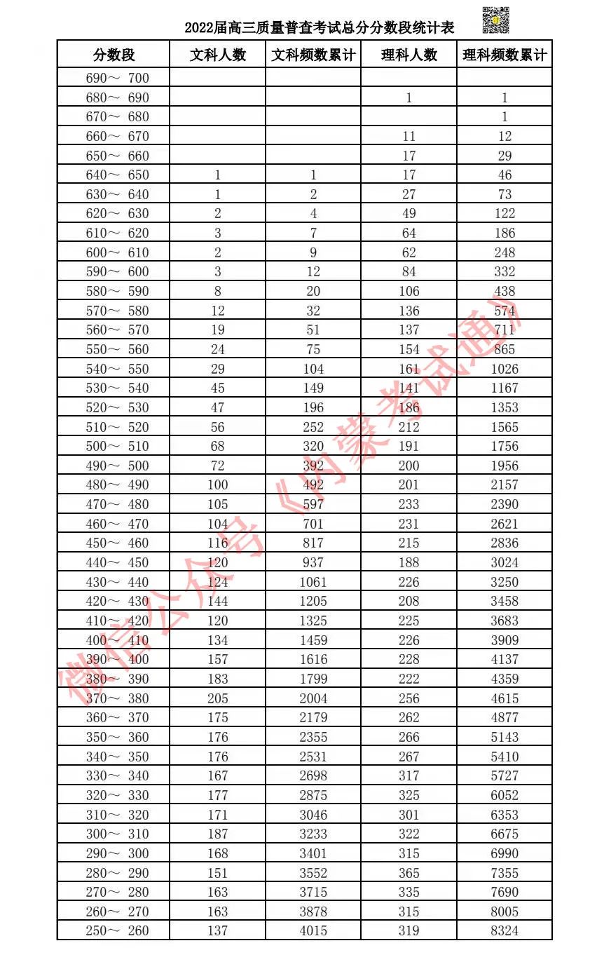
普通文科、理科有效分统计
关于段考、模拟考、历年高考真题、学习方法、家庭教育等内容,请关注内蒙考试通,一起来学习!

长按二维码关注
普通文科、理科单科分数段统计表

文科、理科十分一段统计表


志愿填报、专业选择、院校选择等内容
关注“报考网”
每日获取最新高考报考知识

长按二维码关注
来源:内蒙考试通
编辑:朵朵老师
校对:超超老师
审核:文辉老师
声明:转载请注明来源于内蒙考试通微信平台
文章转载自微信公众号:内蒙考试通
内容来源网络,如有侵权,联系删除,本文地址:https://www.230890.com/zhan/138951.html
